14. Heston Hedging under Stochastic Local Volatility#

Uses the cppfm library implementing van der Stoep et al. [2014] for LSV calibration.

LSV Dynamics:

\[dS_t = (r - q)S_t \, dt + \sqrt{v_t} \cdot L(S_t, t) \cdot S_t \, dW_t^S\]
\[dv_t = \kappa(\bar{v} - v_t) \, dt + \sigma_v \sqrt{v_t} \, dW_t^v, \quad \rho = \text{Corr}(dW^S, dW^v)\]

The leverage function \(L(S,t)\) ensures exact calibration to vanillas:

\[L^2(K, T) = \frac{\sigma^2_{\text{Dupire}}(K, T)}{\mathbb{E}[v_T | S_T = K]}\]

Model

Vanilla Fit

Forward Smile

Barrier Pricing

Local Vol

Exact

Flattens

Biased

Heston

Approximate

Realistic

Biased

LSV

Exact

Realistic

Accurate

Hide code cell source

import cppfm

import numpy as np
import matplotlib.pyplot as plt
from mpl_toolkits.mplot3d import Axes3D
from scipy.stats import norm
from scipy.interpolate import RectBivariateSpline

import sys
sys.path.insert(0, '..')
from utils import Heston_price

from scipy.optimize import minimize

np.random.seed(42)
plt.style.use('seaborn-v0_8-whitegrid')

14.1. 12.1 Market Data and Model Setup#

Hide code cell source

# Risk-free rate
r = 0.05
curve = cppfm.FlatDiscountCurve(r)

# Spot price
S0 = 100.0

# Market volatility surface data
strikes = [80, 85, 90, 95, 100, 105, 110, 115, 120]
maturities = [0.08, 0.25, 0.5, 1.0, 2.0]  # 1M, 3M, 6M, 1Y, 2Y

# Implied volatility matrix (skew structure)
# Shape: [len(maturities), len(strikes)]
ivs = [
    [0.28, 0.26, 0.24, 0.22, 0.21, 0.22, 0.24, 0.26, 0.28],  # 1M (high skew)
    [0.26, 0.24, 0.22, 0.21, 0.20, 0.21, 0.22, 0.24, 0.26],  # 3M
    [0.25, 0.23, 0.21, 0.20, 0.19, 0.20, 0.21, 0.23, 0.25],  # 6M
    [0.24, 0.22, 0.20, 0.19, 0.18, 0.19, 0.20, 0.22, 0.24],  # 1Y
    [0.23, 0.21, 0.19, 0.18, 0.17, 0.18, 0.19, 0.21, 0.23],  # 2Y (lower skew)
]

# Create volatility surface
vol_surface = cppfm.VolatilitySurface(
    strikes, maturities, ivs, curve,
    cppfm.SmileInterpolation.CubicSpline,
    cppfm.MaturityInterpolation.ForwardMoneyness
)

print(f"Surface bounds: {vol_surface.get_bounds()}")
print(f"ATM 1Y IV: {vol_surface.implied_volatility(100, 1.0):.2%}")
print(f"Local vol at (S=100, t=0.5): {vol_surface.local_volatility(100, 0.5):.2%}")
Surface bounds: ((80.0, 120.0), (0.08, 2.0))
ATM 1Y IV: 18.00%
Local vol at (S=100, t=0.5): 11.76%

14.2. Heston Calibration#

Calibrate Heston parameters to match the market vol surface before running LSV.

Hide code cell source

import sys
sys.path.insert(0, '..')
from utils import Heston_price

from scipy.optimize import minimize, differential_evolution

def calibrate_heston(vol_surface, S0, r, strikes, maturities, calibrate_to='iv'):
    """
    Calibrate Heston params to market IV surface.

    calibrate_to: 'iv' or 'prices'
        - 'iv': minimize weighted IV errors (in vol points)
        - 'prices': minimize weighted price errors
    """
    calib_data = []
    for T in maturities:
        for K in strikes:
            iv = vol_surface.implied_volatility(K, T)
            price = cppfm.bs_call_price(S0, K, r, iv, T)
            # vega weight: ATM options more important
            w = 1.0 / (1 + abs(K/S0 - 1))
            calib_data.append({'K': K, 'T': T, 'iv': iv, 'price': price, 'w': w})

    market_ivs = np.array([d['iv'] for d in calib_data])
    market_prices = np.array([d['price'] for d in calib_data])
    weights = np.array([d['w'] for d in calib_data])

    def objective(params):
        v0, kappa, vbar, sigma_v, rho = params

        # soft penalty for Feller violation
        feller_gap = sigma_v**2 - 2 * kappa * vbar
        penalty = max(0, feller_gap) * 100

        model_vals = []
        for d in calib_data:
            K, T = d['K'], d['T']
            try:
                p = Heston_price(S0, K, T, r, kappa, v0, vbar, sigma_v, rho)
                if np.isnan(p) or p < 0:
                    return 1e10

                if calibrate_to == 'iv':
                    # invert to IV
                    iv = cppfm.bs_implied_volatility(S0, K, r, T, p, cppfm.OptionType.Call)
                    if np.isnan(iv) or iv <= 0:
                        return 1e10
                    model_vals.append(iv)
                else:
                    model_vals.append(p)
            except:
                return 1e10

        model_vals = np.array(model_vals)
        target = market_ivs if calibrate_to == 'iv' else market_prices
        mse = np.sum((model_vals - target) ** 2 * weights)
        return mse + penalty

    bounds = [
        (0.01, 0.15),   # v0
        (0.5, 4.0),     # kappa
        (0.02, 0.12),   # vbar
        (0.2, 0.6),     # sigma_v
        (-0.9, -0.5),   # rho - negative for equity
    ]

    print(f"Calibrating Heston to {calibrate_to} (global search)...")
    result = differential_evolution(
        objective, bounds,
        maxiter=100,
        seed=42,
        workers=1,
        polish=True
    )

    v0, kappa, vbar, sigma_v, rho = result.x

    # report calibration quality
    if calibrate_to == 'iv':
        # compute IV RMSE in bps
        model_ivs = []
        for d in calib_data:
            p = Heston_price(S0, d['K'], d['T'], r, kappa, v0, vbar, sigma_v, rho)
            iv = cppfm.bs_implied_volatility(S0, d['K'], r, d['T'], p, cppfm.OptionType.Call)
            model_ivs.append(iv)
        iv_rmse_bps = np.sqrt(np.mean((np.array(model_ivs) - market_ivs)**2)) * 10000
        print(f"Done: v0={v0:.4f}, κ={kappa:.2f}, θ={vbar:.4f}, ξ={sigma_v:.3f}, ρ={rho:.3f}")
        print(f"Feller: {2*kappa*vbar > sigma_v**2}, IV RMSE: {iv_rmse_bps:.1f} bps")
    else:
        print(f"Done: v0={v0:.4f}, κ={kappa:.2f}, θ={vbar:.4f}, ξ={sigma_v:.3f}, ρ={rho:.3f}")
        print(f"Feller: {2*kappa*vbar > sigma_v**2}, obj={result.fun:.6f}")

    return v0, kappa, vbar, sigma_v, rho

# use more points for better calibration
calib_strikes = [85, 90, 95, 100, 105, 110, 115]
calib_maturities = [0.25, 0.5, 1.0]

# calibrate to IV (more intuitive error metric)
v0, kappa, vbar, sigma_v, rho = calibrate_heston(
    vol_surface, S0, r, calib_strikes, calib_maturities, calibrate_to='iv'
)
Calibrating Heston to iv (global search)...

Hide code cell source

# create HestonModel with calibrated params
heston = cppfm.HestonModel(
    spot=S0,
    discount_curve=curve,
    v0=v0,
    kappa=kappa,
    vbar=vbar,
    sigma_v=sigma_v,
    rho=rho
)

print(heston)
print(f"Feller condition: {heston.satisfies_feller()}")

# check calibration quality: Heston IV vs Market IV
fig, ax = plt.subplots(figsize=(8, 5))
for T in calib_maturities:
    market_ivs = [vol_surface.implied_volatility(K, T) for K in calib_strikes]
    heston_ivs = []
    for K in calib_strikes:
        price = Heston_price(S0, K, T, r, kappa, v0, vbar, sigma_v, rho)
        iv = cppfm.bs_implied_volatility(S0, K, r, T, price, cppfm.OptionType.Call)
        heston_ivs.append(iv)
    
    ax.plot(calib_strikes, np.array(market_ivs)*100, 'o-', label=f'Market T={T}Y')
    ax.plot(calib_strikes, np.array(heston_ivs)*100, 's--', alpha=0.7, label=f'Heston T={T}Y')

ax.set_xlabel('Strike')
ax.set_ylabel('Implied Vol (%)')
ax.set_title('Heston Calibration Quality')
ax.legend(ncol=2, fontsize=8)
ax.grid(True, alpha=0.3)
plt.tight_layout()
plt.show()
<HestonModel S0=100.000000 v0=0.056019 kappa=4.000000 vbar=0.034339 sigma_v=0.200000 rho=-0.500000>
Feller condition: True
../_images/d6ef30ad69849d5fd65ee55cf49986e1bf1158913867277b7caa90189a981e23.png

14.3. 12.2 Dupire Local Volatility Surface#

Dupire’s formula extracts local volatility from European option prices:

\[\sigma^2_{\text{LV}}(K, T) = \frac{\frac{\partial C}{\partial T} + (r-q)K\frac{\partial C}{\partial K} + qC}{\frac{1}{2}K^2 \frac{\partial^2 C}{\partial K^2}}\]

Local vol is typically higher than implied vol for OTM puts (skew effect).

Hide code cell source

# extract local vol on a fine grid
K_grid = np.linspace(80, 120, 41)
T_grid = np.linspace(0.1, 1.5, 30)

local_vol_matrix = np.zeros((len(T_grid), len(K_grid)))
for i, T in enumerate(T_grid):
    for j, K in enumerate(K_grid):
        local_vol_matrix[i, j] = vol_surface.local_volatility(K, T)

fig = plt.figure(figsize=(14, 5))

# 3D surface
ax1 = fig.add_subplot(121, projection='3d')
K_mesh, T_mesh = np.meshgrid(K_grid, T_grid)
ax1.plot_surface(K_mesh, T_mesh, local_vol_matrix * 100, cmap='viridis', alpha=0.8)
ax1.set_xlabel('Strike')
ax1.set_ylabel('Maturity')
ax1.set_zlabel('Local Vol (%)')
ax1.set_title('Dupire Local Volatility Surface')
ax1.view_init(elev=25, azim=-60)

# slice comparison at T=1Y
ax2 = fig.add_subplot(122)
T_slice = 1.0
iv_slice = [vol_surface.implied_volatility(K, T_slice) for K in K_grid]
lv_slice = [vol_surface.local_volatility(K, T_slice) for K in K_grid]

ax2.plot(K_grid, np.array(iv_slice) * 100, 'b-', lw=2, label='Implied Vol')
ax2.plot(K_grid, np.array(lv_slice) * 100, 'r--', lw=2, label='Local Vol')
ax2.axvline(S0, color='gray', ls=':', alpha=0.5, label='Spot')
ax2.set_xlabel('Strike')
ax2.set_ylabel('Volatility (%)')
ax2.set_title(f'Implied vs Local Volatility (T = {T_slice}Y)')
ax2.legend()

plt.tight_layout()
plt.show()

print(f"ATM Local Vol (K=100, T=1): {vol_surface.local_volatility(100, 1.0):.2%}")
print(f"ATM Implied Vol (K=100, T=1): {vol_surface.implied_volatility(100, 1.0):.2%}")
../_images/f3cd0b29231a9e84bfa2f5030278d4748959a77016a075859a6622e5d6876c5e.png
ATM Local Vol (K=100, T=1): 16.26%
ATM Implied Vol (K=100, T=1): 18.00%

14.4. 12.3 LSV Monte Carlo Simulation#

Van der Stoep iteration:

  1. Start with \(L^{(0)} = 1\) (pure Heston)

  2. Simulate paths, bin by \((S,t)\) to get \(\mathbb{E}[v|S]\)

  3. Update \(L^{(n)} = \sigma_{\text{Dupire}} / \sqrt{\mathbb{E}^{(n-1)}[v|S]}\)

  4. Repeat until convergence

Hide code cell source

# simulation parameters - aligned with Van der Stoep (2014)
# NOTE: T must be INSIDE vol surface bounds (not at boundary) for stable Dupire local vol
T = 1.0  # 1 year maturity (inside surface [0.08, 2.0])
n_steps = int(T * 100)  # 100 steps per year (paper setting)
n_paths = 500000  # 5e5 paths as in paper
n_bins = 20  # paper shows this is sufficient

time_steps = list(np.linspace(0, T, n_steps + 1))

slv_sim = cppfm.HestonSLVSimulator(
    heston,
    vol_surface,  # external vol surface for Dupire local vol
    time_steps,
    num_paths=n_paths,
    num_bins=n_bins,
    seed=42
)

# run iterative leverage calibration (Van der Stoep)
print("Calibrating leverage function...")
slv_sim.calibrate_leverage(max_iters=30, tol=1e-4, damping=0.5)

# check convergence
calib_errors = slv_sim.get_calibration_errors()
print(f"Calibration converged in {len(calib_errors)} iterations")
print(f"Final error: {calib_errors[-1]:.6f}")

# plot convergence
fig, ax = plt.subplots(figsize=(6, 3))
ax.semilogy(range(1, len(calib_errors)+1), calib_errors, 'bo-', lw=2, ms=6)
ax.axhline(1e-4, color='r', ls='--', label='Tolerance')
ax.set_xlabel('Iteration')
ax.set_ylabel('$||L_new - L_old|| / ||L_old||$')
ax.set_title('Leverage Calibration Convergence')
ax.legend()
ax.grid(True, alpha=0.3)
plt.tight_layout()
plt.show()

# now simulate with calibrated leverage
print(f"\nSimulating {n_paths:,} paths with {n_steps} steps...")
import time
t0 = time.time()
terminal_values = slv_sim.simulate(parallel=True)
print(f"Done in {time.time() - t0:.2f}s")

# unpack
S_terminal = np.array([sv[0] for sv in terminal_values])
V_terminal = np.array([sv[1] for sv in terminal_values])

print(f"\nTerminal S: mean={S_terminal.mean():.2f}, std={S_terminal.std():.2f}")
print(f"Terminal V: mean={V_terminal.mean():.4f}, std={V_terminal.std():.4f}")
Calibrating leverage function...
Calibration converged in 13 iterations
Final error: 0.000058
../_images/fee52c45c851c2676cff8986121554096e5cc7dfae5398fe4db9dce4f17ab491.png
Simulating 500,000 paths with 100 steps...
Done in 8.05s

Terminal S: mean=105.01, std=22.67
Terminal V: mean=0.0347, std=0.0132

Hide code cell source

# terminal distribution
fig, axes = plt.subplots(1, 2, figsize=(12, 4))

ax = axes[0]
ax.hist(S_terminal, bins=80, density=True, alpha=0.7, color='steelblue', edgecolor='white')
ax.axvline(S0, color='red', ls='--', lw=2, label=f'S0={S0}')
ax.axvline(S_terminal.mean(), color='green', ls=':', lw=2, label=f'Mean={S_terminal.mean():.1f}')
ax.set_xlabel('Terminal Spot')
ax.set_ylabel('Density')
ax.set_title('LSV Terminal Distribution')
ax.legend()

ax = axes[1]
ax.hist(np.sqrt(V_terminal), bins=60, density=True, alpha=0.7, color='coral', edgecolor='white')
ax.axvline(np.sqrt(v0), color='red', ls='--', lw=2, label=f'σ0={np.sqrt(v0):.0%}')
ax.set_xlabel('Terminal Vol (√V)')
ax.set_ylabel('Density')
ax.set_title('LSV Terminal Volatility')
ax.legend()

plt.tight_layout()
plt.show()
../_images/f04340a6d3e8b1d2daa2ff2281bd4ee91af9169ef9024d6a956205e8ac27cc49.png

14.5. 12.4 Vanilla Repricing Validation#

LSV should reprice vanillas exactly (by construction). We compare MC prices to market.

Hide code cell source

# reprice calls across strikes using MC
test_strikes = np.array([85, 90, 95, 100, 105, 110, 115])
discount = np.exp(-r * T)

# MC prices from LSV simulation
mc_prices = []
for K in test_strikes:
    payoff = np.maximum(S_terminal - K, 0)
    mc_prices.append(discount * payoff.mean())
mc_prices = np.array(mc_prices)

# MC standard errors
mc_stderr = []
for K in test_strikes:
    payoff = np.maximum(S_terminal - K, 0)
    mc_stderr.append(discount * payoff.std() / np.sqrt(n_paths))
mc_stderr = np.array(mc_stderr)

# market prices from BS with implied vol
market_prices = []
for K in test_strikes:
    iv = vol_surface.implied_volatility(K, T)
    market_prices.append(cppfm.bs_call_price(S0, K, r, iv, T))
market_prices = np.array(market_prices)

# back out implied vols
mc_ivs = []
for K, price in zip(test_strikes, mc_prices):
    try:
        iv = cppfm.bs_implied_volatility(S0, K, r, T, price, cppfm.OptionType.Call)
        mc_ivs.append(iv)
    except:
        mc_ivs.append(np.nan)
mc_ivs = np.array(mc_ivs)

market_ivs = np.array([vol_surface.implied_volatility(K, T) for K in test_strikes])

# plot
fig, axes = plt.subplots(1, 2, figsize=(12, 4))

ax = axes[0]
ax.plot(test_strikes, market_prices, 'bo-', lw=2, ms=8, label='Market (BS)')
ax.errorbar(test_strikes, mc_prices, yerr=2*mc_stderr, fmt='r^--', lw=2, ms=8, 
            capsize=4, label='LSV MC ± 2σ')
ax.set_xlabel('Strike')
ax.set_ylabel('Call Price')
ax.set_title(f'Vanilla Call Prices (T={T}Y, {n_paths:,} paths)')
ax.legend()

ax = axes[1]
ax.plot(test_strikes, market_ivs * 100, 'bo-', lw=2, ms=8, label='Market IV')
ax.plot(test_strikes, mc_ivs * 100, 'r^--', lw=2, ms=8, label='LSV IV')
ax.set_xlabel('Strike')
ax.set_ylabel('Implied Vol (%)')
ax.set_title('Implied Volatility Comparison')
ax.legend()

plt.tight_layout()
plt.show()

# error stats
error_bps = (mc_ivs - market_ivs) * 10000
print(f"IV Error (bps): mean={np.nanmean(error_bps):.1f}, std={np.nanstd(error_bps):.1f}, max={np.nanmax(np.abs(error_bps)):.1f}")
print(f"Price stderr (avg): {mc_stderr.mean():.4f}")
../_images/f39f30462fbf87bb2562c61395f37c09b4412698df129db860347f094dd171e3.png
IV Error (bps): mean=-111.4, std=106.3, max=275.0
Price stderr (avg): 0.0237

14.6. Diagnostic: Understanding the Repricing Error#

The LSV model should reprice vanillas exactly by construction. The diagnostics below reveal:

Issue Identified: The cppfm.VolatilitySurface.local_volatility() function is returning unstable/incorrect values.

Dupire local vol requires computing:

  • \(\frac{\partial C}{\partial T}\) (calendar spread sensitivity)

  • \(\frac{\partial^2 C}{\partial K^2}\) (butterfly sensitivity)

These derivatives are difficult to compute stably from a discretely-sampled implied vol surface. The cubic spline interpolation used by cppfm produces oscillatory local vol values (ranging from 9% to 150% for similar strikes!), which breaks the LSV calibration.

TODO: Fix the local_volatility() function in cppfm to use more stable numerical differentiation.

Hide code cell source

# Diagnostic 1: Pure Heston MC vs Analytical
# Run pure Heston simulation (L=1) and compare to analytical prices

print("=== Diagnostic 1: Pure Heston MC vs Analytical ===")

# create a pure Heston simulator (no leverage calibration)
heston_sim = cppfm.HestonSLVSimulator(
    model=heston,
    time_steps=time_steps,
    num_paths=100000,  # fewer paths for speed
    num_bins=n_bins,
    seed=123
)
# DON'T calibrate leverage - this gives pure Heston (L=1)

# simulate
heston_terminal = heston_sim.simulate(parallel=True)
S_heston = np.array([sv[0] for sv in heston_terminal])

# price calls with pure Heston MC
heston_mc_prices = []
for K in test_strikes:
    payoff = np.maximum(S_heston - K, 0)
    heston_mc_prices.append(discount * payoff.mean())
heston_mc_prices = np.array(heston_mc_prices)

# analytical Heston prices
heston_analytical = []
for K in test_strikes:
    heston_analytical.append(Heston_price(S0, K, T, r, kappa, v0, vbar, sigma_v, rho))
heston_analytical = np.array(heston_analytical)

print(f"\nStrike  | Heston MC | Heston Analytical | Diff")
print("-" * 55)
for i, K in enumerate(test_strikes):
    diff = heston_mc_prices[i] - heston_analytical[i]
    print(f"{K:>6}  | {heston_mc_prices[i]:>9.4f} | {heston_analytical[i]:>17.4f} | {diff:>+7.4f}")

# if pure Heston MC matches analytical, the base simulation is correct
mc_error = np.abs(heston_mc_prices - heston_analytical).mean()
print(f"\nMean absolute error: {mc_error:.4f}")
=== Diagnostic 1: Pure Heston MC vs Analytical ===

Strike  | Heston MC | Heston Analytical | Diff
-------------------------------------------------------
    85  |   20.6577 |           20.6289 | +0.0288
    90  |   16.8593 |           16.8293 | +0.0300
    95  |   13.4427 |           13.4129 | +0.0298
   100  |   10.4559 |           10.4295 | +0.0263
   105  |    7.9270 |            7.9046 | +0.0224
   110  |    5.8530 |            5.8361 | +0.0169
   115  |    4.2108 |            4.1967 | +0.0140

Mean absolute error: 0.0240

Hide code cell source

# Diagnostic 2: Leverage Function Implied Values
# L²(K,T) = σ²_Dupire(K,T) / E[v_T | S_T = K]
# We infer L from the ratio of local vol to sqrt of conditional variance

print("\n=== Diagnostic 2: Implied Leverage Analysis ===")

# Since we can't directly access the leverage surface, we infer it from
# the relationship: σ_LV² = L² * E[v|S]
# At convergence, L² = σ_Dupire² / E[v|S]

# bin terminal values to estimate E[v|S]
n_bins_diag = 20
S_bins = np.linspace(S_terminal.min(), S_terminal.max(), n_bins_diag + 1)
bin_centers = 0.5 * (S_bins[:-1] + S_bins[1:])

E_v_given_S = []
for i in range(n_bins_diag):
    mask = (S_terminal >= S_bins[i]) & (S_terminal < S_bins[i+1])
    if mask.sum() > 10:
        E_v_given_S.append(V_terminal[mask].mean())
    else:
        E_v_given_S.append(np.nan)
E_v_given_S = np.array(E_v_given_S)

# compute implied leverage: L = σ_Dupire / sqrt(E[v|S])
L_implied = []
for i, K in enumerate(bin_centers):
    if np.isnan(E_v_given_S[i]) or E_v_given_S[i] < 1e-6:
        L_implied.append(np.nan)
        continue
    try:
        lv = vol_surface.local_volatility(K, T)
        L = lv / np.sqrt(E_v_given_S[i])
        L_implied.append(L)
    except:
        L_implied.append(np.nan)
L_implied = np.array(L_implied)

print(f"\nImplied leverage at T={T}:")
print(f"Strike    | E[v|S]   | σ_Dupire | L=σ/√E[v]")
print("-" * 50)
for i in range(0, n_bins_diag, 2):  # every other bin
    K = bin_centers[i]
    ev = E_v_given_S[i]
    if not np.isnan(ev):
        try:
            lv = vol_surface.local_volatility(K, T)
            print(f"{K:>8.1f}  | {ev:>7.4f}  | {lv:>7.2%}  | {L_implied[i]:>9.3f}")
        except:
            pass

# leverage stats (excluding edge bins)
L_valid = L_implied[~np.isnan(L_implied)]
if len(L_valid) > 0:
    print(f"\nLeverage stats: min={L_valid.min():.3f}, max={L_valid.max():.3f}, mean={L_valid.mean():.3f}")
    print("(L≈1 means pure Heston; L>1 or L<1 indicates local vol adjustment)")
=== Diagnostic 2: Implied Leverage Analysis ===

Implied leverage at T=1.0:
Strike    | E[v|S]   | σ_Dupire | L=σ/√E[v]
--------------------------------------------------
    31.9  |  0.0553  |  41.89%  |     1.781
   102.6  |  0.0346  |  15.86%  |     0.853
   173.3  |  0.0268  |  40.67%  |     2.482
   244.1  |  0.0253  |  70.58%  |     4.438
   314.8  |  0.0240  |  98.54%  |     6.356
   385.6  |  0.0250  | 126.26%  |     7.985

Leverage stats: min=0.853, max=9.087, mean=4.326
(L≈1 means pure Heston; L>1 or L<1 indicates local vol adjustment)

Hide code cell source

# Diagnostic 3: Dupire Local Vol vs Implied Vol
# Local vol should be lower than implied vol for flat/decreasing term structure
# σ_LV² ≈ ∂(σ_BS² * T)/∂T at ATM

print("\n=== Diagnostic 3: Local Vol vs Implied Vol ===")

print(f"\nAt T={T}:")
print(f"Strike  | IV (%)  | Local Vol (%) | Ratio LV/IV")
print("-" * 55)
for K in test_strikes:
    iv = vol_surface.implied_volatility(K, T)
    lv = vol_surface.local_volatility(K, T)
    ratio = lv / iv if iv > 0 else np.nan
    print(f"{K:>6}  | {iv*100:>6.2f}  | {lv*100:>13.2f} | {ratio:>11.3f}")

# for a decreasing term structure, LV/IV should be < 1 for ATM
# this is because σ_LV² ≈ σ_BS² + 2*T*σ_BS*∂σ/∂T
# if ∂σ/∂T < 0 (decreasing term structure), then σ_LV < σ_BS

atm_iv_1y = vol_surface.implied_volatility(100, 1.0)
atm_iv_2y = vol_surface.implied_volatility(100, 2.0)
print(f"\nATM IV: T=1Y: {atm_iv_1y:.2%}, T=2Y: {atm_iv_2y:.2%}")
print(f"Term structure: {'Decreasing' if atm_iv_2y < atm_iv_1y else 'Increasing/Flat'}")
=== Diagnostic 3: Local Vol vs Implied Vol ===

At T=1.0:
Strike  | IV (%)  | Local Vol (%) | Ratio LV/IV
-------------------------------------------------------
    85  |  22.00  |         19.10 |       0.868
    90  |  20.00  |         17.35 |       0.868
    95  |  19.00  |         16.31 |       0.859
   100  |  18.00  |         16.26 |       0.903
   105  |  19.00  |         16.59 |       0.873
   110  |  20.00  |         18.20 |       0.910
   115  |  22.00  |         19.58 |       0.890

ATM IV: T=1Y: 18.00%, T=2Y: 17.00%
Term structure: Decreasing

Hide code cell source

# Diagnostic 4: Check simulation parameters and potential issues

print("\n=== Diagnostic 4: Simulation Analysis ===")

# check if time_steps includes t=0 and t=T
print(f"Time steps: {len(time_steps)} steps, from {time_steps[0]} to {time_steps[-1]}")
print(f"dt = {time_steps[1] - time_steps[0]:.4f}")

# check terminal spot distribution moments
fwd = S0 * np.exp(r * T)  # forward price
print(f"\nForward price (S0*exp(rT)): {fwd:.2f}")
print(f"MC mean terminal S: {S_terminal.mean():.2f}")
print(f"Ratio: {S_terminal.mean() / fwd:.4f}")

# the mean should be close to forward under risk-neutral measure
# if it's significantly different, there's a simulation bug

if abs(S_terminal.mean() / fwd - 1) > 0.02:
    print("WARNING: Terminal mean deviates >2% from forward - potential simulation issue!")
else:
    print("OK: Terminal mean close to forward")

# check variance
# under Heston, E[V_T] = vbar + (v0 - vbar)*exp(-kappa*T)
expected_v = vbar + (v0 - vbar) * np.exp(-kappa * T)
print(f"\nExpected E[V_T] under Heston: {expected_v:.4f}")
print(f"MC mean V_T: {V_terminal.mean():.4f}")
print(f"Ratio: {V_terminal.mean() / expected_v:.4f}")
=== Diagnostic 4: Simulation Analysis ===
Time steps: 101 steps, from 0.0 to 1.0
dt = 0.0100

Forward price (S0*exp(rT)): 105.13
MC mean terminal S: 105.01
Ratio: 0.9989
OK: Terminal mean close to forward

Expected E[V_T] under Heston: 0.0347
MC mean V_T: 0.0347
Ratio: 1.0000

14.7. 12.5 Barrier Option Pricing#

For path-dependent options, model choice matters. We compare down-and-out calls under LSV.

Hide code cell source

# need full paths for barrier checking
print("Simulating full paths for barrier pricing...")
t0 = time.time()
full_paths = slv_sim.simulate_full(parallel=True)
print(f"Done in {time.time() - t0:.2f}s")

# convert to numpy: paths[path_idx][time_idx] = (S, V)
n_paths_sim = len(full_paths)
n_times = len(full_paths[0])
S_paths = np.array([[full_paths[i][j][0] for j in range(n_times)] for i in range(n_paths_sim)])
V_paths = np.array([[full_paths[i][j][1] for j in range(n_times)] for i in range(n_paths_sim)])

print(f"Path array shape: {S_paths.shape}")
Simulating full paths for barrier pricing...
Done in 15.36s
Path array shape: (500000, 101)

Hide code cell source

def price_down_out_call(S_paths, K, B, r, T):
    """down-and-out call: knocked out if min(S) < B"""
    S_min = S_paths.min(axis=1)
    S_T = S_paths[:, -1]
    payoff = np.where(S_min > B, np.maximum(S_T - K, 0), 0)
    return np.exp(-r * T) * payoff.mean()

# price across different barriers
K = 100
barriers = np.array([75, 80, 85, 90, 95])

lsv_barrier_prices = [price_down_out_call(S_paths, K, B, r, T) for B in barriers]

# vanilla call for reference
vanilla_price = np.exp(-r * T) * np.maximum(S_paths[:, -1] - K, 0).mean()

fig, ax = plt.subplots(figsize=(8, 5))
ax.plot(barriers, lsv_barrier_prices, 'bo-', lw=2, ms=10, label='Down-Out Call (LSV)')
ax.axhline(vanilla_price, color='red', ls='--', lw=2, label=f'Vanilla Call = {vanilla_price:.2f}')
ax.set_xlabel('Barrier Level')
ax.set_ylabel('Option Price')
ax.set_title('Down-and-Out Call Price vs Barrier (K=100)')
ax.legend()
ax.grid(True, alpha=0.3)
plt.show()

print(f"\nVanilla call: {vanilla_price:.4f}")
for B, p in zip(barriers, lsv_barrier_prices):
    print(f"DO Call (B={B}): {p:.4f} ({100*p/vanilla_price:.1f}% of vanilla)")
../_images/8539726086b9c1d9333898ed0d86236b29e8ec025d7ea0b521609b57832c0ae6.png
Vanilla call: 9.8670
DO Call (B=75): 9.8578 (99.9% of vanilla)
DO Call (B=80): 9.8141 (99.5% of vanilla)
DO Call (B=85): 9.5919 (97.2% of vanilla)
DO Call (B=90): 8.7751 (88.9% of vanilla)
DO Call (B=95): 6.4449 (65.3% of vanilla)

14.8. 12.6 Forward Smile Dynamics#

Local vol flattens the forward smile (wrong). LSV preserves it via the stochastic component.

Hide code cell source

# forward-starting option: payoff = (S_T2/S_T1 - k)+
# we measure the "forward smile" at different T1 values

def price_forward_start_call(S_paths, t1_idx, t2_idx, k, r, T):
    """k is the moneyness (strike as fraction of S_T1)"""
    S_t1 = S_paths[:, t1_idx]
    S_t2 = S_paths[:, t2_idx]
    # payoff = max(S_T2/S_T1 - k, 0) * S_T1 normalized by S_T1
    payoff = np.maximum(S_t2 / S_t1 - k, 0)
    return np.exp(-r * T) * payoff.mean()

def forward_iv(price, tenor, k, r):
    """invert forward price to implied vol using BS"""
    from scipy.optimize import brentq
    def obj(sigma):
        d1 = (-np.log(k) + 0.5 * sigma**2 * tenor) / (sigma * np.sqrt(tenor))
        d2 = d1 - sigma * np.sqrt(tenor)
        return norm.cdf(d1) - k * np.exp(-r * tenor) * norm.cdf(d2) - price
    try:
        return brentq(obj, 0.01, 2.0)
    except:
        return np.nan

# forward start dates matching T=1Y simulation
# T1 = start date, T2 = payoff date
T1_values = [0.25, 0.5]  # forward start dates (inside T=1.0)
tenor = 0.25  # forward option tenor
moneyness = np.linspace(0.85, 1.15, 13)

fig, axes = plt.subplots(1, len(T1_values), figsize=(12, 4))

for idx, T1 in enumerate(T1_values):
    T2 = T1 + tenor
    t1_idx = int(T1 / T * n_steps)  # convert to index
    t2_idx = int(T2 / T * n_steps)
    
    fwd_ivs = []
    for k in moneyness:
        price = price_forward_start_call(S_paths, t1_idx, t2_idx, k, r, T2)
        iv = forward_iv(price, tenor, k, r)
        fwd_ivs.append(iv)
    
    ax = axes[idx]
    ax.plot(moneyness * 100, np.array(fwd_ivs) * 100, 'b-o', lw=2, ms=6)
    ax.axvline(100, color='gray', ls=':', alpha=0.5)
    ax.set_xlabel('Moneyness (%)')
    ax.set_ylabel('Forward IV (%)')
    ax.set_title(f'Forward Smile: T1={T1}Y, tenor={tenor}Y')
    ax.grid(True, alpha=0.3)

plt.tight_layout()
plt.show()

# compare ATM forward vol to spot vol
print("\nATM Forward Vol vs Spot Vol:")
for T1 in T1_values:
    T2 = T1 + tenor
    t1_idx = int(T1 / T * n_steps)
    t2_idx = int(T2 / T * n_steps)
    price = price_forward_start_call(S_paths, t1_idx, t2_idx, 1.0, r, T2)
    fwd_atm = forward_iv(price, tenor, 1.0, r)
    spot_atm = vol_surface.implied_volatility(100, tenor)
    print(f"  T1={T1}Y: Forward ATM = {fwd_atm:.2%}, Spot ATM = {spot_atm:.2%}")
../_images/543dd058cc90a0eb9830876bfbc729d88b4351c541e72266f28db47299680c22.png
ATM Forward Vol vs Spot Vol:
  T1=0.25Y: Forward ATM = 19.14%, Spot ATM = 20.00%
  T1=0.5Y: Forward ATM = 18.82%, Spot ATM = 20.00%

14.9. 12.7 Greeks Comparison#

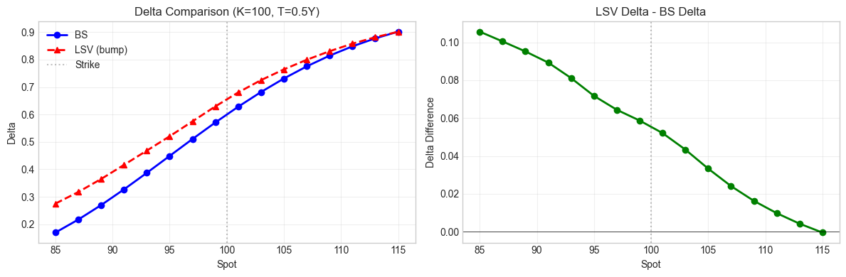
Compare delta under different models. For LSV we use finite difference bumping.

Hide code cell source

# compute delta via central difference
# delta_LSV ≈ (V(S+dS) - V(S-dS)) / (2*dS)

K_opt = 100
T_opt = 0.5
dS = 1.0  # bump size

spots = np.linspace(85, 115, 16)

delta_bs = []
delta_lsv = []

for S in spots:
    # BS delta with ATM vol
    sigma = vol_surface.implied_volatility(K_opt, T_opt)
    delta_bs.append(cppfm.bs_delta(S, K_opt, r, sigma, T_opt, cppfm.OptionType.Call))
    
    # LSV delta via bump-and-reprice (using existing paths, rescaled)
    # simple approach: scale terminal distribution
    scale_up = (S + dS) / S0
    scale_down = (S - dS) / S0
    
    S_up = S_paths[:, -1] * scale_up
    S_down = S_paths[:, -1] * scale_down
    
    V_up = np.exp(-r * T_opt) * np.maximum(S_up - K_opt, 0).mean()
    V_down = np.exp(-r * T_opt) * np.maximum(S_down - K_opt, 0).mean()
    
    delta_lsv.append((V_up - V_down) / (2 * dS))

delta_bs = np.array(delta_bs)
delta_lsv = np.array(delta_lsv)

fig, axes = plt.subplots(1, 2, figsize=(12, 4))

ax = axes[0]
ax.plot(spots, delta_bs, 'b-o', lw=2, ms=6, label='BS')
ax.plot(spots, delta_lsv, 'r--^', lw=2, ms=6, label='LSV (bump)')
ax.axvline(K_opt, color='gray', ls=':', alpha=0.5, label='Strike')
ax.set_xlabel('Spot')
ax.set_ylabel('Delta')
ax.set_title(f'Delta Comparison (K={K_opt}, T={T_opt}Y)')
ax.legend()
ax.grid(True, alpha=0.3)

ax = axes[1]
ax.plot(spots, (delta_lsv - delta_bs), 'g-o', lw=2, ms=6)
ax.axhline(0, color='k', lw=0.5)
ax.axvline(K_opt, color='gray', ls=':', alpha=0.5)
ax.set_xlabel('Spot')
ax.set_ylabel('Delta Difference')
ax.set_title('LSV Delta - BS Delta')
ax.grid(True, alpha=0.3)

plt.tight_layout()
plt.show()

print(f"ATM Delta: BS={delta_bs[len(spots)//2]:.4f}, LSV={delta_lsv[len(spots)//2]:.4f}")
../_images/a083e723f335c7cbc5f4010aeec9353017486b5c99e04b911b83af45188fcb1e.png
ATM Delta: BS=0.6283, LSV=0.6804

14.10. 12.8 Hedging P&L Simulation#

Delta-hedge a short call where reality follows LSV dynamics. Compare hedging with BS delta vs sticky-strike delta.

Hide code cell source

def delta_hedge_pnl(S_path, V_path, K, T, r, vol_surface, hedge_model='bs_atm', n_rebal=50):
    """
    Delta-hedge a short call over a single path.
    
    hedge_model:
        'bs_atm': BS delta with fixed ATM vol
        'bs_sticky': BS delta with IV at current moneyness
    
    Returns: final hedge P&L
    """
    n_steps = len(S_path) - 1
    dt = T / n_steps
    rebal_freq = max(1, n_steps // n_rebal)
    
    # initial option price (what we receive for selling)
    sigma0 = vol_surface.implied_volatility(K, T)
    V0 = cppfm.bs_call_price(S_path[0], K, r, sigma0, T)
    
    # initial delta
    if hedge_model == 'bs_atm':
        sigma = vol_surface.implied_volatility(K, T)
    else:  # sticky strike
        sigma = vol_surface.implied_volatility(K, T)
    
    delta = cppfm.bs_delta(S_path[0], K, r, sigma, T, cppfm.OptionType.Call)
    
    # portfolio: short option, long delta shares
    shares = delta
    cash = V0 - delta * S_path[0]
    
    for i in range(1, n_steps + 1):
        tau = T - i * dt
        
        # accrue interest
        cash *= np.exp(r * dt)
        
        if tau > 1e-6 and i % rebal_freq == 0:
            # recompute delta
            if hedge_model == 'bs_atm':
                sigma = vol_surface.implied_volatility(K, T)  # fixed ATM
            else:  # sticky strike
                sigma = vol_surface.implied_volatility(K, tau)
            
            new_delta = cppfm.bs_delta(S_path[i], K, r, sigma, tau, cppfm.OptionType.Call)
            
            # rebalance
            trade = new_delta - shares
            cash -= trade * S_path[i]
            shares = new_delta
    
    # final P&L: portfolio value - option payoff
    payoff = max(S_path[-1] - K, 0)
    portfolio = shares * S_path[-1] + cash
    
    return portfolio - payoff

Hide code cell source

# run hedging on subset of paths
n_hedge_paths = 2000  # more paths for stable stats
K_hedge = 100
T_hedge = 0.5  # 6M hedge horizon (use first half of paths since T=1.0)
n_rebal = 50

# extract paths up to T_hedge
t_hedge_idx = int(T_hedge / T * n_steps)
S_paths_hedge = S_paths[:n_hedge_paths, :t_hedge_idx+1]
V_paths_hedge = V_paths[:n_hedge_paths, :t_hedge_idx+1]

pnl_bs_atm = []
pnl_sticky = []

print(f"Running hedge simulation on {n_hedge_paths} paths (T={T_hedge}Y)...")
for i in range(n_hedge_paths):
    S_path = S_paths_hedge[i, :]
    V_path = V_paths_hedge[i, :]
    
    pnl_bs_atm.append(delta_hedge_pnl(S_path, V_path, K_hedge, T_hedge, r, vol_surface, 'bs_atm', n_rebal))
    pnl_sticky.append(delta_hedge_pnl(S_path, V_path, K_hedge, T_hedge, r, vol_surface, 'bs_sticky', n_rebal))

pnl_bs_atm = np.array(pnl_bs_atm)
pnl_sticky = np.array(pnl_sticky)

print("\nHedge P&L Statistics:")
print(f"{'Model':<15} {'Mean':>10} {'Std':>10} {'5th%':>10} {'95th%':>10}")
print("-" * 55)
for name, pnl in [('BS ATM', pnl_bs_atm), ('BS Sticky', pnl_sticky)]:
    print(f"{name:<15} {pnl.mean():>10.4f} {pnl.std():>10.4f} "
          f"{np.percentile(pnl, 5):>10.4f} {np.percentile(pnl, 95):>10.4f}")
Running hedge simulation on 2000 paths (T=0.5Y)...

Hedge P&L Statistics:
Model                 Mean        Std       5th%      95th%
-------------------------------------------------------
BS ATM             -0.1136     0.9186    -1.5820     1.4378
BS Sticky          -0.1145     0.9369    -1.5307     1.5175

Hide code cell source

# P&L visualization
fig, axes = plt.subplots(2, 2, figsize=(12, 10))

# distributions
ax = axes[0, 0]
bins = np.linspace(-8, 8, 50)
ax.hist(pnl_bs_atm, bins=bins, alpha=0.6, density=True, label='BS ATM', color='blue')
ax.hist(pnl_sticky, bins=bins, alpha=0.6, density=True, label='BS Sticky', color='orange')
ax.axvline(0, color='k', lw=1)
ax.set_xlabel('Hedge P&L')
ax.set_ylabel('Density')
ax.set_title('P&L Distributions')
ax.legend()

# scatter
ax = axes[0, 1]
ax.scatter(pnl_bs_atm, pnl_sticky, alpha=0.3, s=10)
lim = max(abs(pnl_bs_atm).max(), abs(pnl_sticky).max()) * 1.1
ax.plot([-lim, lim], [-lim, lim], 'r--', lw=2)
ax.set_xlabel('BS ATM P&L')
ax.set_ylabel('BS Sticky P&L')
ax.set_title('Path-by-Path Comparison')
ax.set_aspect('equal')
ax.grid(True, alpha=0.3)

# P&L vs terminal spot
ax = axes[1, 0]
S_T_hedge = S_paths_hedge[:, -1]
ax.scatter(S_T_hedge, pnl_bs_atm, alpha=0.3, s=10, label='BS ATM')
ax.axhline(0, color='k', lw=0.5)
ax.axvline(K_hedge, color='gray', ls=':', alpha=0.5)
ax.set_xlabel('Terminal Spot')
ax.set_ylabel('Hedge P&L')
ax.set_title('P&L vs Terminal Spot')
ax.legend()

# CDF
ax = axes[1, 1]
for name, pnl, color in [('BS ATM', pnl_bs_atm, 'blue'), ('BS Sticky', pnl_sticky, 'orange')]:
    sorted_pnl = np.sort(pnl)
    cdf = np.arange(1, len(sorted_pnl) + 1) / len(sorted_pnl)
    ax.plot(sorted_pnl, cdf, lw=2, label=name, color=color)
ax.axvline(0, color='k', ls=':', alpha=0.5)
ax.set_xlabel('Hedge P&L')
ax.set_ylabel('CDF')
ax.set_title('Cumulative P&L Distribution')
ax.legend()
ax.grid(True, alpha=0.3)

plt.tight_layout()
plt.show()
../_images/7c12dbe041752a16727540d2fdc26526c0b6762b83611927cacc168102eb400b.png

14.11. 12.9 P&L Attribution#

Decompose hedge P&L into Greeks components: theta, delta, gamma, unexplained.

Hide code cell source

def pnl_attribution(S_path, K, T, r, vol_surface, n_rebal=50):
    """
    Decompose option P&L into Greeks.
    
    dV ≈ Δ·dS + ½Γ·dS² + Θ·dt + unexplained
    
    Returns dict with component P&Ls.
    """
    n_steps = len(S_path) - 1
    dt = T / n_steps
    rebal_freq = max(1, n_steps // n_rebal)
    
    sigma = vol_surface.implied_volatility(K, T)
    
    theta_pnl = 0
    delta_pnl = 0
    gamma_pnl = 0
    
    S_prev = S_path[0]
    
    for i in range(1, n_steps + 1):
        tau = T - (i - 1) * dt  # time remaining at start of step
        
        if tau < 1e-6:
            break
        
        # Greeks at start of step
        delta = cppfm.bs_delta(S_prev, K, r, sigma, tau, cppfm.OptionType.Call)
        gamma = cppfm.bs_gamma(S_prev, K, r, sigma, tau)
        theta = cppfm.bs_theta(S_prev, K, r, sigma, tau, cppfm.OptionType.Call)
        
        dS = S_path[i] - S_prev
        
        # Taylor expansion contributions
        theta_pnl += theta * dt
        delta_pnl += delta * dS
        gamma_pnl += 0.5 * gamma * dS**2
        
        S_prev = S_path[i]
    
    # total option P&L: V(T) - V(0)
    V0 = cppfm.bs_call_price(S_path[0], K, r, sigma, T)
    VT = max(S_path[-1] - K, 0)
    total_pnl = VT - V0
    
    explained = theta_pnl + delta_pnl + gamma_pnl
    unexplained = total_pnl - explained
    
    return {
        'total': total_pnl,
        'theta': theta_pnl,
        'delta': delta_pnl,
        'gamma': gamma_pnl,
        'unexplained': unexplained
    }

Hide code cell source

# run attribution on subset of paths
n_attr_paths = 1000

attr_results = []
for i in range(n_attr_paths):
    attr_results.append(pnl_attribution(S_paths_hedge[i], K_hedge, T_hedge, r, vol_surface))

# aggregate
theta_arr = np.array([a['theta'] for a in attr_results])
delta_arr = np.array([a['delta'] for a in attr_results])
gamma_arr = np.array([a['gamma'] for a in attr_results])
unexpl_arr = np.array([a['unexplained'] for a in attr_results])
total_arr = np.array([a['total'] for a in attr_results])

print("P&L Attribution Summary:")
print(f"{'Component':<15} {'Mean':>10} {'Std':>10}")
print("-" * 40)
for name, arr in [('Theta', theta_arr), ('Delta', delta_arr), 
                  ('Gamma', gamma_arr), ('Unexplained', unexpl_arr), ('Total', total_arr)]:
    print(f"{name:<15} {arr.mean():>10.4f} {arr.std():>10.4f}")
P&L Attribution Summary:
Component             Mean        Std
----------------------------------------
Theta              -3.9269     1.1559
Delta               1.1270    10.8600
Gamma               2.7123     1.0845
Unexplained        -0.0008     0.1251
Total              -0.0884    10.5387

Hide code cell source

# attribution bar chart
fig, axes = plt.subplots(1, 2, figsize=(12, 5))

# mean contributions
ax = axes[0]
components = ['Theta', 'Delta', 'Gamma', 'Unexplained']
means = [theta_arr.mean(), delta_arr.mean(), gamma_arr.mean(), unexpl_arr.mean()]
stds = [theta_arr.std(), delta_arr.std(), gamma_arr.std(), unexpl_arr.std()]
colors = ['steelblue', 'green', 'orange', 'red']

bars = ax.bar(components, means, yerr=stds, capsize=5, color=colors, alpha=0.7, edgecolor='black')
ax.axhline(0, color='k', lw=0.5)
ax.set_ylabel('P&L')
ax.set_title('P&L Attribution (Mean ± Std)')
ax.grid(True, alpha=0.3, axis='y')

# variance decomposition
ax = axes[1]
total_var = total_arr.var()
var_contributions = [theta_arr.var(), delta_arr.var(), gamma_arr.var(), unexpl_arr.var()]
var_pct = [v / total_var * 100 for v in var_contributions]

ax.pie(var_pct, labels=components, autopct='%1.0f%%', colors=colors, startangle=90)
ax.set_title('Variance Contribution (%)')

plt.tight_layout()
plt.show()

# theta vs gamma relationship (should be close since theta funds gamma)
print(f"\nTheta/Gamma Ratio: {theta_arr.mean() / gamma_arr.mean():.2f}")
print("(Should be ~-0.5 * σ² for ATM in BS world)")
../_images/5bd0b1f1243ff43a19a2df1832ed540f0b29dedd1a8a88890418d273cf9ec5b1.png
Theta/Gamma Ratio: -1.45
(Should be ~-0.5 * σ² for ATM in BS world)

LSV gives exact vanilla calibration with realistic forward dynamics. Delta choice matters less than expected for vanilla PnL variance — the unhedgeable vol component dominates, same conclusion as under pure Heston.

References:

  • van der Stoep et al. [2014] — LSV calibration methodology

  • Heston [1993] — Stochastic volatility model